Unit 3 Review Word Problems Axbxc Example 1
11:29
53
Unit 3 Review Word Problems Axbxc Example 1
I Took Nmn Every Day And This Happened
6:40
394.112
I Took Nmn Every Day And This Happened
Is It Better To Take Nmn Or Nad? Dr David Sinclair Interview Clips
1:54
82.230
Is It Better To Take Nmn Or Nad? Dr David Sinclair Interview Clips
David Sinclair On Nmn Minimal Dose And Best Timing
4:12
197.159
David Sinclair On Nmn Minimal Dose And Best Timing
Im Taking Nmn - Whats The Hype With This Longevity Supplement?
11:47
499.702
Im Taking Nmn - Whats The Hype With This Longevity Supplement?
He Wrote My Name - O.s. Davis - Piano And Organ Tracey Phillips Randy Nunnally
1:38
202
He Wrote My Name - O.s. Davis - Piano And Organ Tracey Phillips Randy Nunnally
Truman Sinclair - Joel Roberts Live
2:55
14.972
Truman Sinclair - Joel Roberts Live
Solving Simple Equations
3:17
13
Solving Simple Equations
Steps To Solve 2 Equations
3:41
202
Steps To Solve 2 Equations
Linear Vs Exponential
4:28
67.353
Linear Vs Exponential
Creating Graphs From Word Problems And Real Life Situations
9:32
163
Creating Graphs From Word Problems And Real Life Situations
Solving Two Step Equations
6:29
32
Solving Two Step Equations
Arithmetic Sequence How To Take A Sequence And Write It In Nth Term Notation
4:55
71
Arithmetic Sequence How To Take A Sequence And Write It In Nth Term Notation
Arithmetic Sequence Overview
4:29
64
Arithmetic Sequence Overview
Relationship Vs. Function
6:12
67
Relationship Vs. Function
Functions Vs Relationships Example
5:52
19
Functions Vs Relationships Example
U5D1 Hw Help
8:44
154
U5D1 Hw Help
Functions Vs Relationships Ordered Pairs And Mapping Examples
9:40
64
Functions Vs Relationships Ordered Pairs And Mapping Examples
U3D10 - Review Of Graph 1 - First Part
11:00
133
U3D10 - Review Of Graph 1 - First Part
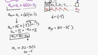
Arithmetic Sequences Using Nth Term Notation
4:53
336
Arithmetic Sequences Using Nth Term Notation
Functions As Equations And Graphs
6:37
50
Functions As Equations And Graphs
Domain And Range On A Graph
4:45
53
Domain And Range On A Graph
Steps To Solve 2 Equations Using Elimination
4:27
183
Steps To Solve 2 Equations Using Elimination
Geometric Sequences Using The Nth Term Function Notation.
5:16
975
Geometric Sequences Using The Nth Term Function Notation.
Mapping Relationships And Functions
7:36
35
Mapping Relationships And Functions
Geometric Sequences Using Recursive Notation
5:14
69
Geometric Sequences Using Recursive Notation
Finding Domain And Range From A Graphs
10:03
163
Finding Domain And Range From A Graphs
Steps To Solve 2 Equations 22
4:32
216
Steps To Solve 2 Equations 22
Fractional Exponents Tibo
7:39
483
Fractional Exponents Tibo
Translations Non Rigid
3:10
29
Translations Non Rigid
Review Unit 2 Question 2
10:07
35
Review Unit 2 Question 2
Review Six Page 1 Hardest Problem
3:48
58
Review Six Page 1 Hardest Problem
U1D4 Notes - Data Box Plots And Range
11:05
61
U1D4 Notes - Data Box Plots And Range
Reflections
3:47
19
Reflections