Bracketsadobe Edge Code Cc Review
4:44
323
Bracketsadobe Edge Code Cc Review
Beginner C Brackets In C
11:14
15
Beginner C Brackets In C
Opening Day 2020
2:27
557
Opening Day 2020
Dr. Poa
5:52
317
Dr. Poa
Bracketts Golf Membership
0:31
143
Bracketts Golf Membership
Brackets Cc 10Questions 10Certificates Question - 6
1:17
144
Brackets Cc 10Questions 10Certificates Question - 6
Be A Part Of Bracketts Crossing Team
0:41
179
Be A Part Of Bracketts Crossing Team
Bracketts Social Membership
0:31
229
Bracketts Social Membership
Host Your Next Business Meeting At Bracketts Crossing Country Club 15 Sec
0:16
50
Host Your Next Business Meeting At Bracketts Crossing Country Club 15 Sec
Divot
1:21
101
Divot
Host Your Next Meeting At Bracketts Crossing Country Club
0:31
975
Host Your Next Meeting At Bracketts Crossing Country Club
Bracketts Social Membership 15 Seconds
0:16
1.432
Bracketts Social Membership 15 Seconds
Hole 1 At Bracketts Crossing Country Club
0:28
332
Hole 1 At Bracketts Crossing Country Club
How To Remove And Install Bottom Brackets - Threaded Shell Bsa, T47, Cartridge, Etc.
8:03
1.361.359
How To Remove And Install Bottom Brackets - Threaded Shell Bsa, T47, Cartridge,...
Bracketts Crossing Country Club
0:36
200
Bracketts Crossing Country Club
C Programming 10 Take Care Of Those Brackets
7:44
495
C Programming 10 Take Care Of Those Brackets
2024 Award Dinner
9:25
17
2024 Award Dinner
Curly Braces Vs Brackets For Array Initialization In C
2:00
80
Curly Braces Vs Brackets For Array Initialization In C
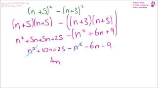
Expanding Simplifying Single Brackets - Tutorial Revision
5:11
609.190
Expanding Simplifying Single Brackets - Tutorial Revision
Top Down - Bottom Up C Style Brackets With Locking Arm
1:10
13.304
Top Down - Bottom Up C Style Brackets With Locking Arm
Expanding And Simplifying Brackets Single Clip103 Grade C Mathswatch
9:42
3.606
Expanding And Simplifying Brackets Single Clip103 Grade C Mathswatch
Solving Equations With Brackets On Both Sides C
2:37
66
Solving Equations With Brackets On Both Sides C
Ep 011 Curly Brackets And Variables Scope C Very Basics
2:11
43
Ep 011 Curly Brackets And Variables Scope C Very Basics
7.6 Expanding 2 Brackets Basic Maths Core Skills Gcse Grade C Level 7 Help
5:42
1.234
7.6 Expanding 2 Brackets Basic Maths Core Skills Gcse Grade C Level 7 Help
Experience C Ceramic Self-Ligating Brackets
2:45
233
Experience C Ceramic Self-Ligating Brackets
Duplicate Brackets Solution
8:12
68.703
Duplicate Brackets Solution
Expanding Double Brackets Grade Clevel 7 Part One
8:23
308
Expanding Double Brackets Grade Clevel 7 Part One
Edexcel Gcse Mathematics Algebra Expanding Bracketsc Grade
2:32
437
Edexcel Gcse Mathematics Algebra Expanding Bracketsc Grade
Factorising Into Single Brackets Grade Dc Or Level 67
10:22
6.908
Factorising Into Single Brackets Grade Dc Or Level 67
How To Escape Braces Curly Brackets In A Format String In C
2:53
1.625
How To Escape Braces Curly Brackets In A Format String In C