Lake In Leeds, Ls12
9:20
401
Lake In Leeds, Ls12
Central Fountain Goodwin Fountain In Peace Garden Sheffield, S1 2Hh
3:25
744
Central Fountain Goodwin Fountain In Peace Garden Sheffield, S1 2Hh
Rainbow In Leeds
2:36
67
Rainbow In Leeds
Matrices - Multiplication Quick Exercise 6
0:47
10
Matrices - Multiplication Quick Exercise 6
Brief History Of Halloween
1:05
134
Brief History Of Halloween
Complex Numbers - Roots Of An Equation Quick Exercise 7
0:31
16
Complex Numbers - Roots Of An Equation Quick Exercise 7
Integration - Area Under A Curve Quick Exercise 9
0:47
7
Integration - Area Under A Curve Quick Exercise 9
Sequences - Arithmetic Progression Quick Exercise 4
0:47
26
Sequences - Arithmetic Progression Quick Exercise 4
Algebra - Linear Equations In Two Variables Quick Exercise 1
0:47
10
Algebra - Linear Equations In Two Variables Quick Exercise 1
Proof - Trigonometric Identity Quick Exercise 14
0:47
4
Proof - Trigonometric Identity Quick Exercise 14
Function - Function Composition Quick Exercise 5
0:31
6
Function - Function Composition Quick Exercise 5
Hundred Pigeons
1:06
302
Hundred Pigeons
Geometry - Circle And Tangent Quick Exercise 8
0:47
6
Geometry - Circle And Tangent Quick Exercise 8
Limit - Lhopitals Rule Quick Exercise 10
0:47
11
Limit - Lhopitals Rule Quick Exercise 10
Solving Logarithmic Equations Random Exercise 42
1:27
16
Solving Logarithmic Equations Random Exercise 42
Rabbits Eat Grass In A Sunny Day
0:54
624
Rabbits Eat Grass In A Sunny Day
Trigonometry - Identities Quick Exercise 2
0:47
10
Trigonometry - Identities Quick Exercise 2
Inverse Matrix, Matrix Operations, Sequence Random Exercise 20
3:11
39
Inverse Matrix, Matrix Operations, Sequence Random Exercise 20
Probability - Card Combinations Quick Exercise 3
0:47
18
Probability - Card Combinations Quick Exercise 3
Sequence - Summation Of A Sequence Quick Exercise 15
0:47
24
Sequence - Summation Of A Sequence Quick Exercise 15
Inverse Function Random Exercise 30
1:28
28
Inverse Function Random Exercise 30
Number Theory Quick Exercise 13
0:47
12
Number Theory Quick Exercise 13
Integration By Parts Random Exercise 51
1:45
25
Integration By Parts Random Exercise 51
Ratio Random Exercise 5 Graph
0:26
19
Ratio Random Exercise 5 Graph
Sequences, Pattern Random Exercise 35
1:21
17
Sequences, Pattern Random Exercise 35
What Is The Area Of An Equilateral Triangle Inscribed In A Circle With Radius Rrandom Exercise 25
1:45
94
What Is The Area Of An Equilateral Triangle Inscribed In A Circle With Radius...
Applications Of Differentiation - Rate Of Change Of A Spheres Volume Quick Exercise 11
0:47
4
Applications Of Differentiation - Rate Of Change Of A Spheres Volume Quick...
Logarithm, Solving Equation Random Exercise 39
1:43
38
Logarithm, Solving Equation Random Exercise 39
Geometric Sequences Random Exercise 1
2:14
285
Geometric Sequences Random Exercise 1
Quadratic Simultaneous Equations Random Exercise 8
1:58
154
Quadratic Simultaneous Equations Random Exercise 8
Volume Random Exercise 7
2:36
205
Volume Random Exercise 7
Locus, Equation Of A Perpendicular Bisector, Distance Formula Random Exercise 46
1:31
11
Locus, Equation Of A Perpendicular Bisector, Distance Formula Random Exercise 46
Modular Arithmetic Random Exercise 32
1:58
28
Modular Arithmetic Random Exercise 32
Cubic Equation Random Exercise 29
3:56
45
Cubic Equation Random Exercise 29
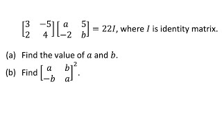
Matrix Operations, Identity Matrix Random Exercise 19
3:42
44
Matrix Operations, Identity Matrix Random Exercise 19
Prime Number Random Exercise 16
3:26
103
Prime Number Random Exercise 16
Binomial Expansion, Binomial Theorem Mastery Exercise 1
3:43
40
Binomial Expansion, Binomial Theorem Mastery Exercise 1
Area, Inequality Random Exercise 2
1:36
166
Area, Inequality Random Exercise 2