Wellen K122 Überlagerung Gleichfrequenter Harmonischer Schwingungen Www.klsoft.de
14:03
40
Wellen K122 Überlagerung Gleichfrequenter Harmonischer Schwingungen...
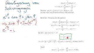
Anwendungsbeispiel Komplexe Zahlen Überlagerung Von Schwingungen
7:26
16.2 K
Anwendungsbeispiel Komplexe Zahlen Überlagerung Von Schwingungen
Superposition Und Deren Herleitung - Wie Addiert Man 2 Schwingungen Gleicher Frequenz
1:01:45
422
Superposition Und Deren Herleitung - Wie Addiert Man 2 Schwingungen Gleicher...
Komplexe Zahlen Anwendung Überlagerung Harmonischer Oberschwingungen Sinxsin2X...sinnx
15:06
20.4 K
Komplexe Zahlen Anwendung Überlagerung Harmonischer Oberschwingungen...
Was Ist Superposition?
2:48
2.1 K
Was Ist Superposition?
Komplexe Zahlen - Teil 11.2 - Addition Zweier Harmonischer Schwingungen Mittels Umwandlung
12:04
235
Komplexe Zahlen - Teil 11.2 - Addition Zweier Harmonischer Schwingungen Mittels...
Fractals Of The Architect
3:34
209
Fractals Of The Architect
Dir Selbst Treu Sein Wirken Aus Der Höchsten Frequenz.
0:58
134
Dir Selbst Treu Sein Wirken Aus Der Höchsten Frequenz.
Frequenz, Kreisfrequenz, Amplitude, Schwingungsdauer, Phasenverschiebung Schwingungen 3 Von 12
8:19
57.9 K
Frequenz, Kreisfrequenz, Amplitude, Schwingungsdauer, Phasenverschiebung...
Das Superpositionsprinzip Bei Schwingungen Komplexe Funktionen
9:44
5.3 K
Das Superpositionsprinzip Bei Schwingungen Komplexe Funktionen
Dir Selbst Treu Sein Höchstfrequenz Minutenpuls 05
0:59
40
Dir Selbst Treu Sein Höchstfrequenz Minutenpuls 05
Urvertrauen Einfach Aktivieren.
1:00
87
Urvertrauen Einfach Aktivieren.
Was Ist Schwebung In Der Physik Hörbeispiel Schwingungen 5 Von 12
9:29
29.1 K
Was Ist Schwebung In Der Physik Hörbeispiel Schwingungen 5 Von 12
Klarheit Erleichtert. Klarheit Befreit
1:00
131
Klarheit Erleichtert. Klarheit Befreit
Finde Alles Genau Jetzt
0:58
93
Finde Alles Genau Jetzt
Physik Verstehen Und Üben E-Lehre Sii K336 Überlagerung Phasenverschobener Spannungen Klsoft.de
6:22
8
Physik Verstehen Und Üben E-Lehre Sii K336 Überlagerung Phasenverschobener...
Zwei Fragen. Achtung Gamechanger. Minutenpuls 02
1:00
57
Zwei Fragen. Achtung Gamechanger. Minutenpuls 02
Klarheit Befreit Minutenpuls 14
1:01
48
Klarheit Befreit Minutenpuls 14
Urvertrauen Einfach Aktivieren Minutenpuls 03
1:01
62
Urvertrauen Einfach Aktivieren Minutenpuls 03
Finde Alles Genau Jetzt. Minutenpuls 04
0:58
47
Finde Alles Genau Jetzt. Minutenpuls 04
Wechselstrom Und Komplexe Zahlen Wie Und Warum?
8:44
59.7 K
Wechselstrom Und Komplexe Zahlen Wie Und Warum?
Jedes Gefühl Ein Portal Ins Sein.
0:59
105
Jedes Gefühl Ein Portal Ins Sein.
Wer Bin Ich Der Transmutationsprozess Deep, Dark, Dirty, Lichtvoll, Berauschend Minutenpuls 13
0:58
52
Wer Bin Ich Der Transmutationsprozess Deep, Dark, Dirty, Lichtvoll, Berauschend...
Kein Höheres Selbst??? Wer Du Wirklich Bist Frequenztransmission
24:47
264
Kein Höheres Selbst??? Wer Du Wirklich Bist Frequenztransmission
Verbinde Dich Tief Mit Deinem Herzen - Öffnung Der Universalen Herzfrequenz
3:52
55
Verbinde Dich Tief Mit Deinem Herzen - Öffnung Der Universalen Herzfrequenz
Gaias Call 10.02.24 - Muss Ich Mit Euch Teilen
5:39
362
Gaias Call 10.02.24 - Muss Ich Mit Euch Teilen
Komplexe Zahlen Harmonische Schwingungen - Darstellung Und Superposition Durch Komplexe Rechnung
3:59:22
9
Komplexe Zahlen Harmonische Schwingungen - Darstellung Und Superposition Durch...
Herti Physik Interferenz Gegenläufiger Wellen
20:29
132
Herti Physik Interferenz Gegenläufiger Wellen
Jedes Gefühl Ist Ein Tor In Deine Unendlichkeit Minutenpuls 07
0:59
74
Jedes Gefühl Ist Ein Tor In Deine Unendlichkeit Minutenpuls 07
Interferenz Von Wellen
9:44
201
Interferenz Von Wellen
Komplexe Zahlen - Teil 11.3 - Addition Zweier Harmonischer Schwingungen Mittels Komplexifizierung
17:00
244
Komplexe Zahlen - Teil 11.3 - Addition Zweier Harmonischer Schwingungen Mittels...
Wer Bin Ich Der Prozess Deep, Dark, Dirty, Lichtvoll, Berauschend.
0:58
254
Wer Bin Ich Der Prozess Deep, Dark, Dirty, Lichtvoll, Berauschend.
Die Energie Shiftet Immer Zuerst
0:59
130
Die Energie Shiftet Immer Zuerst
Die Energie Shiftet Immer Zuerst, Dann Manifestiert Sich Veränderung Im Außen Minutenpuls 06
0:59
45
Die Energie Shiftet Immer Zuerst, Dann Manifestiert Sich Veränderung Im Außen...
Beugung Und Interferenz Von 2 Dimensionalen Wellen
9:41
193
Beugung Und Interferenz Von 2 Dimensionalen Wellen
2024 Mit Einander Frieden Leben. Ruhe Finden In Mensch Tier Beziehungen
36:21
146
2024 Mit Einander Frieden Leben. Ruhe Finden In Mensch Tier Beziehungen
2024 Vom Drachenfeuer Zum Radikalen Einssein. Was Hilft Mir Wirklich?
50:14
282
2024 Vom Drachenfeuer Zum Radikalen Einssein. Was Hilft Mir Wirklich?
2024 Die Energie Wieder Ins Fließen Bringen. Ruhe Im Wohnumfeld Durch Feng Shui
33:21
513
2024 Die Energie Wieder Ins Fließen Bringen. Ruhe Im Wohnumfeld Durch Feng Shui
2024 Gut Überstehen Ankern Im Jetzt Sein Frequenztransmission
23:05
248
2024 Gut Überstehen Ankern Im Jetzt Sein Frequenztransmission