Coefficienti Di Trasformazione 2025-2026 Spiegati Semplicemente
5:59
5
Coefficienti Di Trasformazione 2025-2026 Spiegati Semplicemente
Coefficienti Trasformazione E Capitalizzazione Pensioni Cosa Sono E A Cosa Servono
4:52
473
Coefficienti Trasformazione E Capitalizzazione Pensioni Cosa Sono E A Cosa...
Pensioni Tabella 20252026 Nuovi Coefficienti Ecco Tutte Le Cifre Aggiornate Per Il Biennio
5:34
26.622
Pensioni Tabella 20252026 Nuovi Coefficienti Ecco Tutte Le Cifre Aggiornate Per...
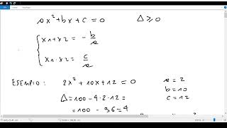
Relazioni Tra Soluzioni Reali E Coefficienti Di Un Equazioni Di Secondo Grado
7:04
2.817
Relazioni Tra Soluzioni Reali E Coefficienti Di Un Equazioni Di Secondo Grado
Equazione Di Terzo Grado Attraverso Eliminazione Dei Coefficienti
6:17
69
Equazione Di Terzo Grado Attraverso Eliminazione Dei Coefficienti
Relazioni Tra Coefficienti E Soluzioni - Equazioni Di Secondo Grado Radicedipigreco
10:23
79
Relazioni Tra Coefficienti E Soluzioni - Equazioni Di Secondo Grado...
La Parabola Significato Dei Coefficienti
12:30
400
La Parabola Significato Dei Coefficienti
How To Pronounce Coefficienti
0:49
Görüntüleme yok
How To Pronounce Coefficienti
Equazioni A Coefficienti Interi Primi Esercizi
8:42
1.645
Equazioni A Coefficienti Interi Primi Esercizi
Equazioni Di Primo Grado - Esercizio 6 Coefficienti Frazionari Esempio2
4:50
181.961
Equazioni Di Primo Grado - Esercizio 6 Coefficienti Frazionari Esempio2
Equazione Di Quarto Grado Attraverso Eliminazione Dei Coefficienti
10:40
400
Equazione Di Quarto Grado Attraverso Eliminazione Dei Coefficienti
Equazione Di Secondo Grado A Coefficienti Irrazionali
2:10
8.290
Equazione Di Secondo Grado A Coefficienti Irrazionali
Relazioni Tra Radici E Coefficienti Di Unequazione Di Secondo Grado E Regola Di Cartesio
12:56
6.463
Relazioni Tra Radici E Coefficienti Di Unequazione Di Secondo Grado E Regola Di...
Relazioni Tra Soluzioni E Coefficienti Di Unequazione Di Secondo Grado
3:01
2.087
Relazioni Tra Soluzioni E Coefficienti Di Unequazione Di Secondo Grado
Equazione Di Secondo Grado A Coefficienti Complessi
3:05
5.395
Equazione Di Secondo Grado A Coefficienti Complessi
Equazioni Con Coefficienti Fratti
7:19
96
Equazioni Con Coefficienti Fratti
Equazioni Intere Di Primo Grado A Coefficienti Interi
6:56
2.477
Equazioni Intere Di Primo Grado A Coefficienti Interi
Equazioni A Coefficienti Frazionari Primi Esercizi
9:39
3.987
Equazioni A Coefficienti Frazionari Primi Esercizi
Disequazioni Di 1 Grado A Coefficienti Frazionari - 3
11:19
243
Disequazioni Di 1 Grado A Coefficienti Frazionari - 3
3A G Equazioni Con Coefficienti Frazionari
4:11
62
3A G Equazioni Con Coefficienti Frazionari
Equazione E Coefficienti Binomiale
6:02
10.888
Equazione E Coefficienti Binomiale
Relazione Tra Le Soluzioni E I Coefficienti
6:04
514
Relazione Tra Le Soluzioni E I Coefficienti
Equazione Di Primo Grado Con Coefficienti Razionali
2:32
428
Equazione Di Primo Grado Con Coefficienti Razionali
0:52
22
Relazioni Tra Somma E Prodotto Delle Soluzioni E I Coefficienti
4:17
398
Relazioni Tra Somma E Prodotto Delle Soluzioni E I Coefficienti
Disequazioni Di Primo Grado - Esercizio 3 Coefficienti Frazionari
2:55
2.599
Disequazioni Di Primo Grado - Esercizio 3 Coefficienti Frazionari
Hoe Spreek Je Coefficienti Uit
0:49
3
Hoe Spreek Je Coefficienti Uit
Equazione A Coefficienti Razionali
8:55
84
Equazione A Coefficienti Razionali
1. Equazioni Di Secondo Grado Relazione Tra Coefficienti E Soluzioni
8:37
56
1. Equazioni Di Secondo Grado Relazione Tra Coefficienti E Soluzioni
Equazione Di Una Retta Significato Dei Coefficienti M E Q
10:36
1.053
Equazione Di Una Retta Significato Dei Coefficienti M E Q